数学の学びにおいて、解の公式は欠かせない重要なツールです。でも、私たちは一体いつこの公式を習うのでしょうか?多くの学生にとって、解の公式は方程式を解く鍵となるものですが、実際にその概念に触れるのはいつ頃なのでしょうか。
解の公式の概要
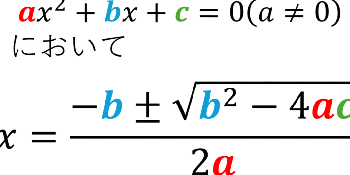
解の公式は、二次方程式 ( ax^2 + bx + c = 0 ) を解くための重要なツールで、次の形式で表されます:
[
x = frac{-b pm sqrt{b^2 – 4ac}}{2a}
]
この公式は、以下の点から特に重要です。
- 一般的な使用:解の公式は、どんな二次方程式にも適用でき、具体的な値により解を導き出します。
- 判別式の理解:判別式 ( b^2 – 4ac ) の値により、方程式の解の性質を判断できます。この値がゼロであれば重解、正であれば二つの異なる解、負であれば実数解は存在しません。
- 計算の効率化:計算が必要な場合でも、解の公式を使うことで迅速かつ正確に求められます。
私たちは解の公式を学ぶことによって、数学的な問題解決能力を高められます。特に、数式の変形や因数分解が難しい場合には、この公式が役立ちます。解の公式に慣れると、二次方程式の解法がスムーズになります。
解の公式の重要性
解の公式は数学において非常に重要な役割を果たす。解の公式を学ぶことで、私たちは方程式を効果的に解く能力を身につけられる。特に、二次方程式(ax² + bx + c = 0)を解く際に必要不可欠なツールだ。
数学教育における位置づけ
数学教育では、解の公式が基礎的な概念として位置づけられている。以下のポイントはその重要性を示している。
- 解の公式は、二次方程式の解法を体系的に学ぶための基盤。
- 数学の進歩において、解の公式は他の高度な数学概念へとつながる橋渡しをする。
- 数学的思考力を養うために、早期に触れておくことが有益。
他の公式との関連性
解の公式は他の数学公式との関係が非常に深い。以下の点がそれを示している。
- 因数分解と解の公式は、方程式を解く際に相互に補完し合う。
- 判別式(D = b² – 4ac)は、解の性質を判断するために不可欠だ。
- 解の公式を利用することで、他の公式を学びやすくなる。
解の公式を習うタイミング
小学校での導入
- 数の理解を深める。 明確な数の概念を築き、基本的な四則演算をマスターします。
- 簡単な方程式に挑戦する。 例えば、x + 2 = 5 のような一変数の方程式を通じて、方程式の仕組みを学びます。
- 数直線を利用する。 数直線を使った数の位置や関係を視覚化します。
中学校での学習
- 二次方程式の基礎を学ぶ。 ax² + bx + c = 0 形式の二次方程式に出会います。
- 因数分解のテクニックを習得する。 特に、二次多項式の因数分解を覚えます。
- 解の公式の導出を学ぶ。 公式の必要性とそれをどう利用するかを見つけます。
高校での応用
- 解の公式を使って問題を解く。 より複雑な二次方程式を解く練習をします。
- 判別式について理解する。 判別式の値による解の性質(実数になる条件など)を学びます。
- 数学的思考力を高める。 符号や解の概念を活用して、広範な応用問題を取り組みます。
解の公式を学ぶ利点
解の公式を学ぶことで、私たちはいくつかの重要な利点を得られます。この公式は、数学の学習や問題解決において非常に役立ちます。以下に具体的な利点を示します。
問題解決能力の向上
- 基礎の理解を強化する
解の公式を使うことで、二次方程式を簡単に解けるようになります。基礎的な数学スキルの向上が期待できます。
- 複雑な問題への対応力を養う
二次方程式だけでなく、他の数学の問題にも解の公式を応用することで、様々な課題に対処できる能力が向上します。
- 具体的なスキルを習得する
数字を使った計算や変形スキルを磨けるため、計算速度が向上します。
自信を持った学習
- 自己効力感を高める
解の公式を使いこなすことで、自分の数学的能力に自信が持てるようになります。成功体験が学習を促進します。
- 数学への興味を喚起する
解ける問題が増えれば、自然と数学に対する興味や好奇心が高まります。学ぶ楽しみを感じられます。
- 他の数学概念との関連性を理解する
Conclusion
解の公式を学ぶことは私たちの数学的スキルを向上させる重要なステップです。これにより二次方程式の解法がスムーズになり複雑な問題にも自信を持って取り組めるようになります。早期に解の公式に触れることで数学への興味が深まり学びがより充実したものになるでしょう。
また解の公式は他の数学的概念を理解するための基盤ともなります。我々がこの公式を習得することで問題解決能力が高まり数学の世界をより楽しむことができるのです。これからも解の公式を活用し続けていきましょう。
